Recent Articles Related To Physics

If the mass and specific heat of the body are 0.08 kg and 0.17 k cal/°𝐶. The temperature difference is 5°𝐶. Find the change in internal energy. JEE 2024

Read More
If displacement of the particle is S = 3𝑡^2 + 4𝑡 + 5 , then velocity a 𝑡=5 𝑠 will be? JEE 2024

Read More
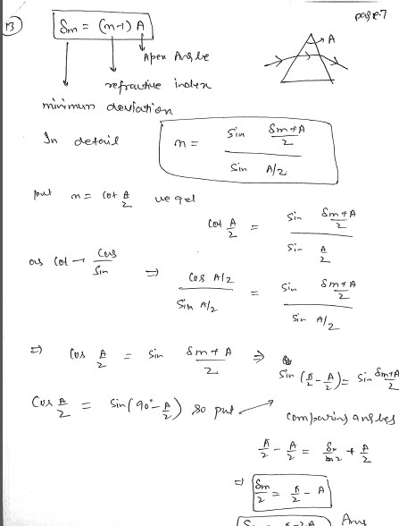
A prism has apex angle 𝐴 and refractive index 𝑛=cot(𝐴/2) . Find the minimum deviation? JEE 2024

minimum deviation = pi - 2A 

Read More
Two masses 𝑚1 = 4 𝑔𝑚 and 𝑚2 = 25 𝑔𝑚 are having same kinetic energy, find the ratio of linear momentum ? JEE 2024

Read More
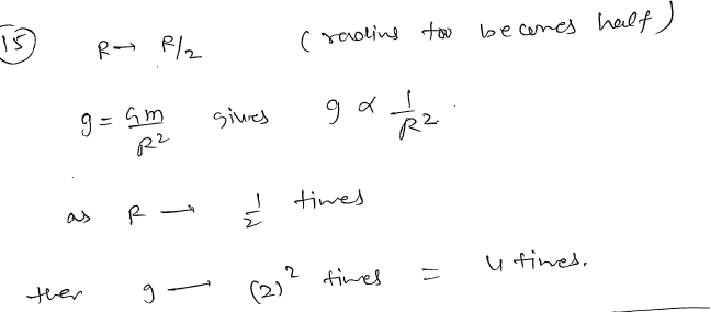
If the diameter of earth becomes half keeping mass to be constant, then the acceleration due to gravity at the surface of earth becomes ? JEE 2024

Read More
Find the apparent depth of a small object placed at the the bottom of two layers of 6 cm each one with refractive index of 4/3 and one with 5/3 ? JEE 2024

Apparent depth is real depth divided by refractive index of the liquid.

 

Read More
A conducting loop of area 2.5 𝑚×2 𝑚 is kept in a magnetic field of 4 Tesla with angle of 60 degree from area vector.. The conducting loop is taken out of the magnetic field in 10 sec. Find the induced emf. JEE 2024

Read More
A train is moving on a circular track of radius 400 m with velocity 12 m/s. The distance between the rails is 1.5 m. Find the height by which outer rail should beraised to keep it moving with the same velocity? JEE2024

Read More
A particle has initial (𝑡=0) velocity 𝑣 =5𝑖̂ and is at origin at this instant. Its acceleration is given by (3𝑖̂+4𝑗̂). When particle’s 𝑥−𝑐𝑜𝑜𝑟𝑑𝑖𝑛𝑎𝑡𝑒 is 16 units, then its speed is: JEE 2024

Read More
A particle performing simple harmonic motion according to 𝑥=𝐴sin𝜔𝑡. Then its kinetic energy (K.E), potential energy (PE) and speed (v) at position 𝑥=𝐴/2 are ? JEE 2024

Read More