Recent Articles Related To Physics

A sphere of small size is at the bottom of a lake of depth 20 𝑚. Due to pressure, its fractional change in volume is 𝛼×10^−7. What is the value of 𝛼, the bulk modulus of the sphere is 5×10^12 𝑃𝑎 (use 𝑔=10 𝑚/𝑠^2)? JEE 2024

Read More
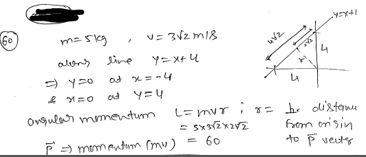
A body of mass 5 kg moving with a uniform speed 3* square root 2 m/s in X – Y plane along the line y = x + 4. The angular momentum of the particle about the origin will be? JEE 2024

Read More
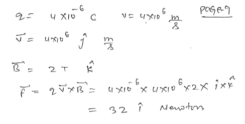
A charge of 4 micro coulomb is moving with a velocity of 4.0 × 10^6 ms^–1 along the positive y-axis under a magnetic field B of strength 2kˆ T. The force acting on the charge is x iˆN . The value of x is ? JEE 2024

Read More
Hydrogen atom is bombarded with electrons accelerated through a potential different of V, which causes excitation of hydrogen atoms. If the experiment is being performed at T = 0 K. The minimum potential difference needed to observe any Balmer series lines in the emission spectra will be alpha * V /10 , where value of alpha is ? JEE 2024

Required energy is for exciting electron to orbit number 3.

 

Read More
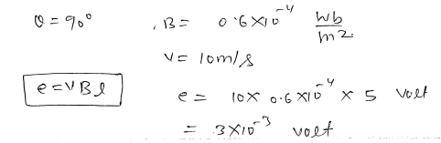
A horizontal straight wire 5 m long extending from east to west falling freely at right angle to horizontal component of earth’s magnetic field 0.60 × 10^–4 Wb per m^2. The instantaneous value of emf induced in the wire when its velocity is 10 meter per second is ? JEE 2024

Read More
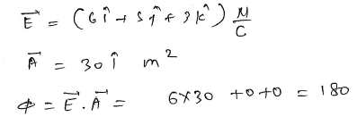
An electric field is given by (6i + 5j +3k) N/C. The electric flux through a surface area 30ˆi m^2 lying in YZ-plane (in SI unit) is : JEE 2024

Read More
N moles of a polyatomic gas (f = 6) must be mixed with two moles of a monoatomic gas so that the mixture behaves as a diatomic gas. The value of N is : JEE 2024

Finally diatomic so take F=5 as degree of freedom for diatomic is 5 .

Read More
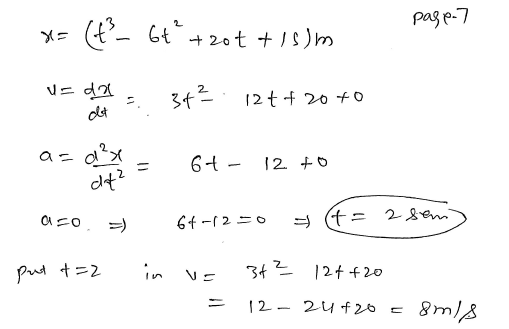
A particle is moving in a straight line. The variation of position ‘x’ as a function of time ‘t’ is given as x = (t^3 – 6t^2 + 20t + 15) m. The velocity of the body when its acceleration becomes zero is :

To find velocity v, we first need the relation between v and t .

to know time for a=0 we need relation between a and t .

Read More
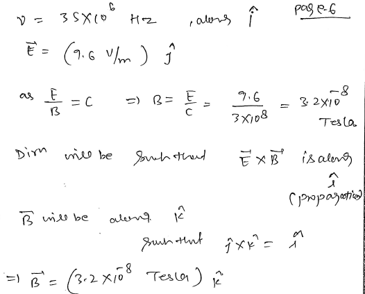
A plane electromagnetic wave of frequency 35 MHz travels in free space along the X-direction. At a particular point (in space and time) E = 9.6 jˆ V /m. The value of magnetic field at this point is : JEE 2024

Read More
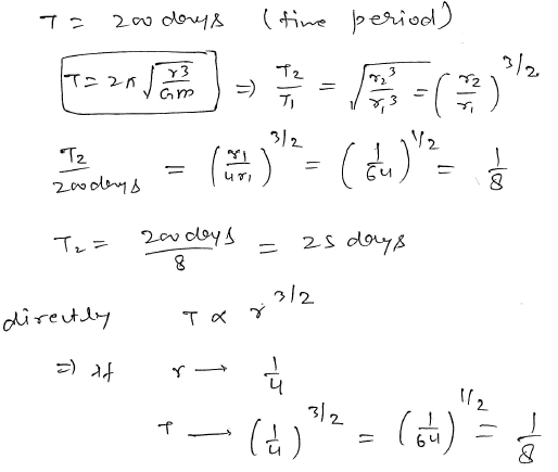
A planet takes 200 days to complete one revolution around the Sun. If the distance of the planet from Sun is reduced to one fourth of the original distance, how many days will it take to complete one revolution ?

Read More