Recent Articles Related To Physics

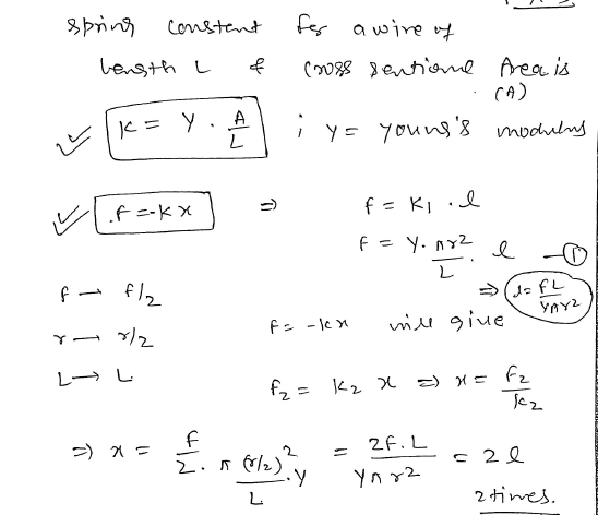
A wire of length L and radius r is clamped at one end. If its other end is pulled by a force F, its length increases by l. If the radius of the wire and the applied force both are reduced to half of their original values keeping original length constant, the increase in length will become ? JEE 2024

Read More
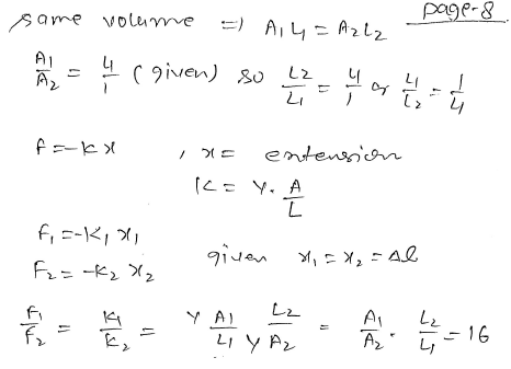
Two metallic wires P and Q have same volume and are made up of same material. If their area of cross sections are in the ratio 4 : 1 and force F1 is applied to P, an extension of delta l is produced. The force which is required to produce same extension in Q is F2. Find the ratio of F1 and F2. JEE 2024

K is corresponding spring constant for a wire for easing the calculation using F=-kx

 Y is young's modulus of elasticity.

Read More
A small liquid drop of radius R is divided into 27 identical drops. If the surface tension is T, then the work done in the process will be : JEE 2024

Read More
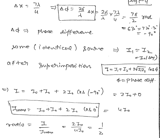
In Young’s double slit experiment, light from two identical sources are superimposing on a screen. The path difference between the two lights reaching at a point on the screen is 7 lambda / 4 . The ratio of intensity of fringe at this point with respect to the maximum intensity of the fringe is ? JEE 2024

Read More
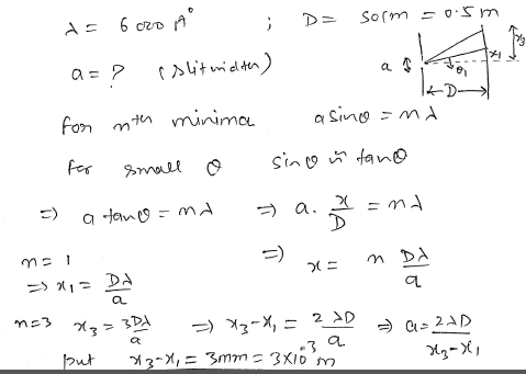
In a single slit diffraction pattern, a light of wavelength 6000 Å is used. The distance between the first and third minima in the diffraction pattern is found to be 3 mm when the screen in placed 50cm away from slits. The width of the slit is ______ × 10–4 m.? JEE 2024

Read More
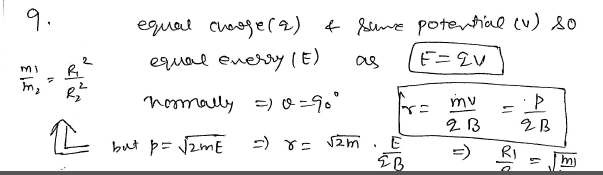
Two particles X and Y having equal charges are being accelerated through the same potential difference. Thereafter they enter normally in a region of uniform magnetic field and describes circular paths of radii R1 and R2 respectively. The mass ratio for X and Y is : JEE 2024

Simply all conditions have been incorporated in the standard formula.

Read More
If the distance between object and its two times magnified virtual image produced by a curved mirror is 15 cm, the focal length of the mirror must be :

As a convention u is taken -ve for real object. In this case as object and image are opposute side of the mirror so for -ve u the v is taken as +ve.


Read More
A stone of mass 900g is tied to a string and moved in a vertical circle of radius 1m making 10 rpm. The tension in the string, when the stone is at the lowest point is (use pi square = 9.8 and g = 9.8 m/s^2)

First change RPM to radian per second by using definition formula of angular speed (omega)

Read More
The bob of a pendulum was released from a horizontal position. The length of the pendulum is 10m. If it dissipates 10% of its initial energy against air resistance, the speed with which the bob arrives at the lowest point is : [Use, g : 10 meter per second square]

 lost 10% so remaining is 90 % which means ME2= (90/100) multiplied by ME1


Read More
A bob of mass ‘m’ is suspended by a light string of length ‘L’. It is imparted a minimum horizontal velocity at the lowest point (A) such that it just completes half circle reaching the top most position(B). The ratio of kinetic energies at lowest point and highest point is ?

Read More