Recent Articles Related To Physics

A shell of mass m is at rest initially. It explodes into three fragments having masses in the ratio 2:2:1. If the fragments having equal masses fly off along mutually perpendicular directions with speed v, the speed of the third (lighter) fragment is ? NEET 2022

Concept of conservation of momenntum is employed.


 

Read More
A long solenoid of radius 1 mm has 100 turns per mm. If 1 A current flows in the solenoid, the magnetic field strength at the centre of the solenoid is ? NEET 2022

Read More
The angular speed of a flywheel moving with uniform angular acceleration changes from 1200 rpm to 3120 rpm in 16 seconds. The angular acceleration in rad/s² is ? NEET 2022

Read More
Two hollow conducting spheres of radii R₁ and R₂(R₁>>R₂) have equal charges. The potential would be greater on surface of smaller / bigger sphere ? Decide.

For same charge v is inversely proportional to R.

 

Read More
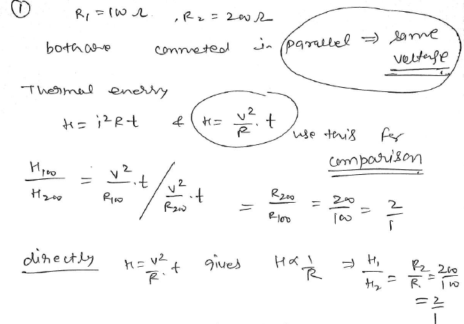
Two resistors of resistance, 100 ohm and 200 ohm are connected in parallel in an electrical circuit. The ratio of the thermal energy developed in 100 ohm resistor to that in 200 ohm resistor in a given time is ? NEET 2022

Read More
If a soap bubble expands, the pressure inside the bubble decreases / increases. Choose correct impact.

Read More
A body of mass 60 g experiences a gravitational force of 3.0 N when placed at a particular point. The magnitude of the gravitational field intensity at that point is? NEET 2022

I = F / m 

 

Read More
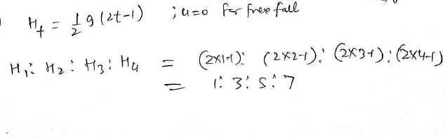
The ratio of the distances travelled by a freely falling body in the 1st, 2nd, 3rd and 4th second is ? NEET 2022

Height fallen in the duration between  t-1 and t second is   u+ g(2t-1)/2  where u is initial velocity.

Read More
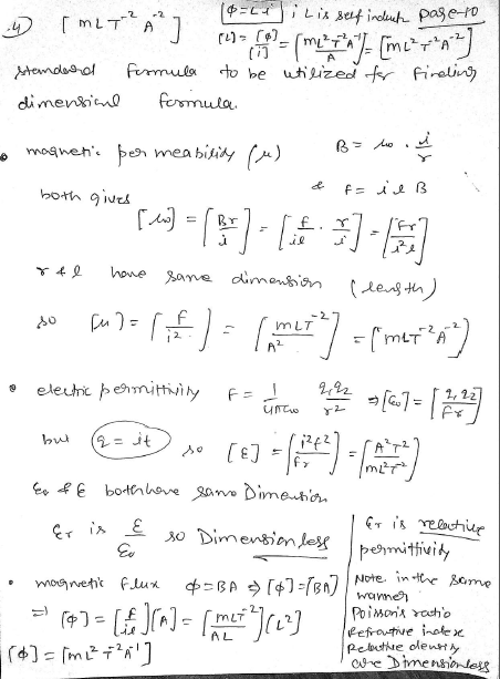
Find Dimension formula for electric permittivity, magnetic flux, self-inductance and magnetic permeability.

Read More
Plane angle and solid angle have units but no dimensions. How ?

Read More