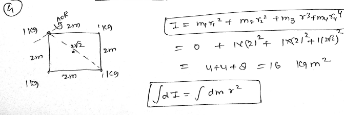
Four objects of mass 1 kg are placed at the vertices of a square of side 2 m, an axis passing perpendicular to the plane of the square through one of the vertices then calculate the moment of inertia about this axis ? JEE 2024
Posted on: July 06, 2024 by lovekush_kumar | Category: Physics | Share
Read More