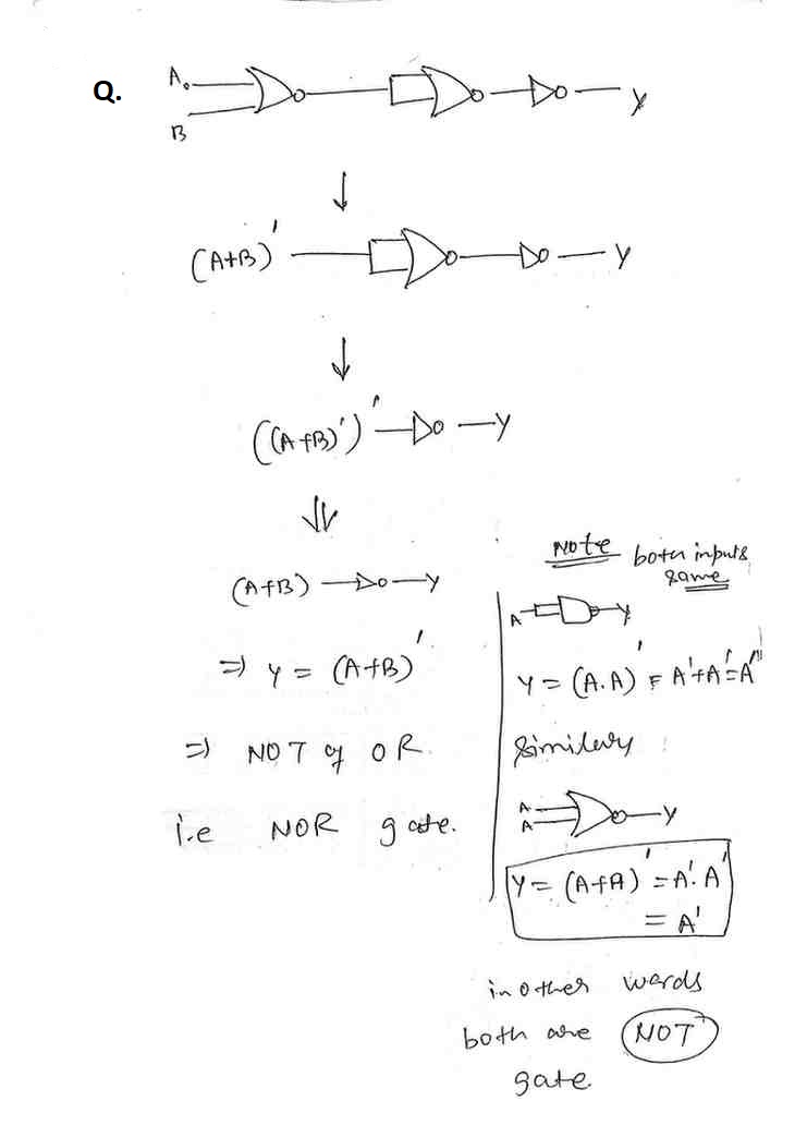
Reduce the number of gates by simplifying the expression as given in the attached image.
For any further doubt either fill this form or email your query/question (in compressed image) to kcphyqa@gmail.com
"Happy learning by reading, writing and attempting.(RWA)"
Best wishes

Reduce the number of gates by simplifying the expression as given in the attached image.
For any further doubt either fill this form or email your query/question (in compressed image) to kcphyqa@gmail.com
"Happy learning by reading, writing and attempting.(RWA)"
Best wishes

Reduce the number of gates by simplifying the expression as given in the attached image.
For any further doubt either fill this form or email your query/question (in compressed image) to kcphyqa@gmail.com
"Happy learning by reading, writing and attempting.(RWA)"
Best wishes

Reduce the number of gates by simplifying the expression as given the attached image.
For any further doubt either fill this form or email your query/question (in compressed image) to kcphyqa@gmail.com
Happy learning by reading and writing.
Best wishes

As the depletion region opposes flow of current due to majority charge carriers so reverse bias also being resistive to current flow inceases the width of depletion region. Option A is correct.

As plane of polarization (electric field vector) is always PERPENDICULAR to DIRECTION of propagtion of wave so it proves that light is a transverse wave.

As you know that the speed decreases to 1/n times the speed in air where n is the refractve index of glass w.r.t. air while frequency remains constant.
and as the eqaution V = µ * wavelength holds true in both cases the wavelenth also decreases to 1/n times the wavelength in air.

Maxwell had given maxwell's equation for electrodynamic, where he coined the word displacement current between plates of a capacitor due to variable electric field.

Take help from formula.
As we know that induced emf is given as rate of change of magnetic flux of the coil, so focus on the parameter
(i)rate of change ........... related to option D
(ii)flux of the coil....... related to option A & C
so option B is correct as resistance comes into play when induced current is to be calculated.

Force F is given as cross product of velocity and magnetic field multiplied my charge with sign.
So off course the force will be perpendicular to both V and B. (option D is correct)
