
Electric lines of force are along (for positive charge) or opposite (for negative charge) to the electric field lines.
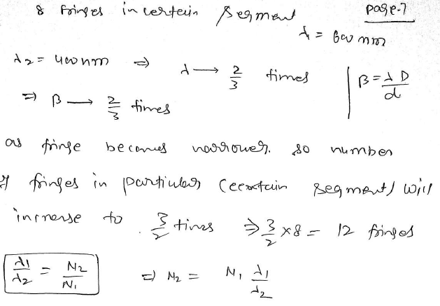
Narrow fringes will be more in number, inverse relation with fringe width.

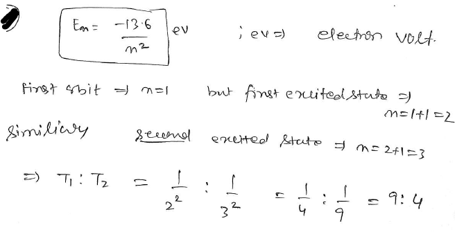
Write expressions and divide.


Multi Formula question.

It is a question of Brewster's law.



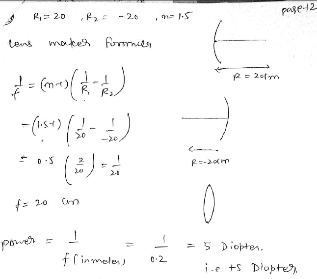
Lens maker fomula for focal length then change f in meter for calculating power.
