Explore the books by author for excelling in your discipline.
Read NowExplore for "promotable images/quotes" at your social media for a better society.
Read Now
As a convention u is taken -ve for real object. In this case as object and image are opposute side of the mirror so for -ve u the v is taken as +ve.

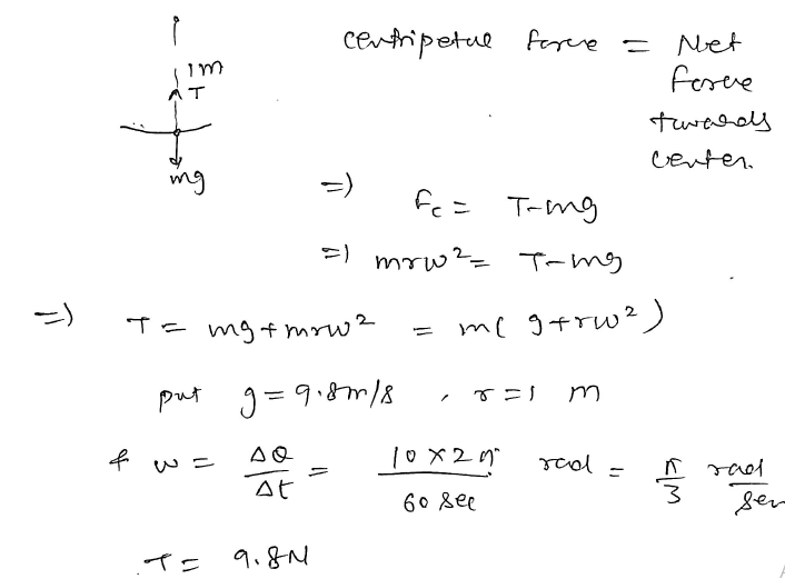
First change RPM to radian per second by using definition formula of angular speed (omega)

lost 10% so remaining is 90 % which means ME2= (90/100) multiplied by ME1


Volume is not given so assume it to be 1 meter cube then corresponding moles(n) can be calculated using the number density given in question so that we can use ideal gas equation.





