Explore for "promotable images/quotes" at your social media for a better society.
Read Now

Note1- increased to 3 times and increased by 3 times are different.
In former case final value is 3 times while in latter case the final value is (3+1=4)times of the initial value.
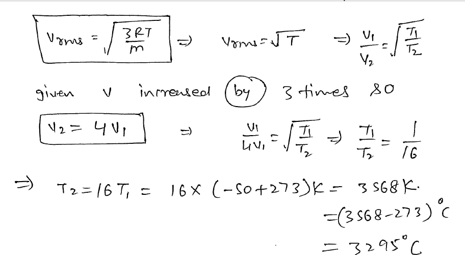
Note-2 the formula has temperature in kelvin so first convert given value to kelvin.

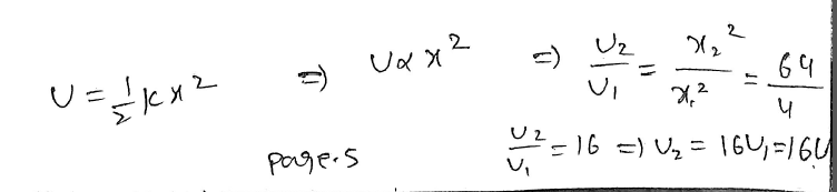
SIMPLY WRITE EQUATION FOR BOTH CASES THEN DIVIDE TO FIND THE RELATION.
For the below question-
The potential energy of a long spring when stretched by 2 cm is U. If the spring is stretched by 8 cm, potential
energy stored in it will be?
you can approach as per discussed method as seen in attached image:

SIMPLY WRITE EQUATION FOR BOTH CASES THEN DIVIDE TO FIND THE RELATION.


ये समाज जिसमें आप रहते हो
ये घर जिसमें आप रहते हो
ये हवा जिसमें आप सांस लेते हो
इसकी बेहतरी के लिए काम करना ही
भगवान को समर्पित होना है |
- लवकुश कुमार


V= E/B
for free space v=c
Putting all values in MKS (c=3 × 10^8, E=48 ) we get B=1.6 × 10^–7 Tesla
Capacitor is used to remove AC ripples because voltage across it doesn't change rapidly so ripples of change are minimized.
AC have ripples because supply have variable voltage throughout its cycle.
One pn diode works in +ve cycle and another in negative cycle.
Center tapped transformer ensures supply of equal voltage to both diodes.
Load resistance is for output.