Recent Articles Related To Physics

Moment of inertia and parallel axis theorem - realisation

Edit then upload

Read More
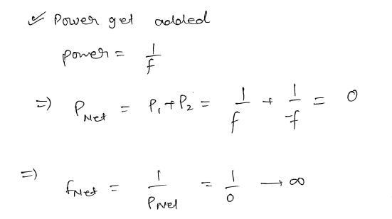
Two thin lenses are of same focal lengths (f), but one is convex and the other one is concave. When they are placed in contact with each other, the equivalent focal length of the combination will be ?NEET UG2023

Read More
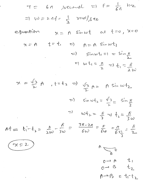
A simple harmonic oscillator has an amplitude A and time period 6pi second. Assuming the oscillation starts from its mean position, the time required by it to travel from x = A to (A/2) square root 3 will be pi / x second, where x =

Read More